I am a Swiss National Science Foundation Ambizione Fellow at the University of Basel Faculty of Business and Economics (WWZ). Previously, I was a Postdoctoral Associate at the MIT Center for Energy and Environmental Policy Research (CEEPR). My research interests as an empirical economist are centered on environmental and energy topics. I investigate how pollution and climate change affect human health, cognitive and physical performance, and avoidance behavior; how new monitoring technologies influence information access and mitigation; and the distributional consequences of environmental policies. Feel free to reach out if you would like to connect or discuss research!

© Benjamin Krebs. All rights reserved.
2026
With Michael Keller, Christopher Knittel, Simon Luechinger
We estimate the effect of PM2.5 pollution on migration between commuting zones in the United States from 2005-2019. To account for the correlation between origin and destination commuting zones’ pollution levels and potential endogeneity, we estimate a dyadic migration model and isolate permanent changes in origin and destination pollution emanating from distant coal-fired power plants. Annual panel and long-difference estimates indicate that air pollution plays a key role in relocation decisions. For the typical commuting zone, an isolated average 2005- 2019 PM2.5 concentration decrease of 3.85 μg/m3 would avert out-migration and increase in-migration, totaling 2 percent of the population annually.
Paper available upon request
We isolate exogenous long-term fluctuations in air pollution from changes in emissions at distant coal-fired power plants. The pollution emanating from coal plants accounts for a substantial portion of the observed spatial and temporal variation in pollution.

2026
With Matthew Neidell
We study how private information affects household responses to environmental risk. Using data from residential air quality monitors, we exploit the timing of monitor installation and high-frequency fine particulate matter (PM2.5) readings to identify responses to new information about indoor pollution risk. We find that indoor PM2.5 concentrations decline by 2.5 μg/m3 over the 12 weeks following installation, conditional on contemporaneous outdoor pollution, with effects significantly larger among households with high initial indoor pollution. The indoor–outdoor pollution gradient declines over time, indicating that households become increasingly effective at mitigating exposure when marginal health damages are highest. Using machine learning techniques to infer cooking activity and air purifier adoption, we show that households respond primarily through durable defensive investments rather than reductions in pollution-generating behavior, with back-of-the-envelope calculations implying positive net benefits. Our results suggest that personalized risk information increases the salience of indoor pollution as a controllable risk for households, in contrast to spatially coarse public information that frames pollution primarily as an outdoor threat requiring avoidance.
Indoor PM2.5 decreases steadily following monitor installation, with reductions becoming statistically significant by the second day and growing to approximately 2.5 μg/m3 by week 12.

2025
With Christopher Knittel, Sarah Meier
Climate change shapes population movements globally. While extreme weather events such as hurricanes and heat waves have drawn much attention for their impact on migration, gradual environmental deterioration remains underexplored. One such stressor is wildfire smoke, which in the United States has reversed decades of air quality improvements. We show that in California, higher wildfire-specific fine particulate matter (PM2.5) concentrations significantly increase out-migration, both within the state and across state borders, with effects concentrated in years of extreme smoke. Using 2006--2019 county-level migration data linked to high-resolution smoke exposure estimates, we find that a 1 μg/m3 increase in average annual smoke PM2.5 raises within-state and cross-state border out-migration by 2.2% and 3.6%, respectively, with wealthier residents disproportionately driving the effects. These results reveal that wildfire smoke acts as a sustained driver of relocation, thereby exacerbating environmental inequalities as lower-income populations face greater barriers to adaptation and remain more exposed. Our results provide novel empirical evidence on the consequences of climate-driven environmental degradation, highlighting migration as a long-term adaptation strategy with broad relevance for other slow-onset environmental hazards worldwide.
Paper available upon request
Wildfire smoke drives out-migration primarily from wealthier counties and less from counties with high homeownership rates.

2026
With Lisa Simon, Hannes Schwandt, Samantha Burn, Matthew Neidell
Question
Is community water fluoridation (CWF) associated with changes in birth weight among infants born before and after its introduction in US counties?Findings
In this cohort study of 11,479,922 singleton births across 677 counties between 1968 and 1988, aggregated to the county-month level, CWF was not associated with statistically significant changes in birth weight.Meaning
These findings suggest that concerns about changes in birth weight associated with CWF may be unfounded, underscoring the value of rigorous research designs in evaluating potential adverse effects from CWF.
Estimated association between community water fluoridation and birth weight

2025
With Joshua Graff Zivin, Matthew Neidell
We study the private adoption and spatial diffusion of a technology that provides a local public good—PurpleAir (PA) pollution monitors, which deliver real-time, publicly accessible air quality information. From a purely informational perspective, the ideal spacing of these monitors should reflect the degree of spatial correlation in pollution. We examine whether observed adoption patterns align with an information-maximizing distribution to explore the information implications of this private provision of a public good. Using data from California between 2019 and 2021, we find that monitor adoption is highly clustered in less polluted areas, where the marginal monitor provides minimal additional public information. Moreover, monitor adoption mainly occurs in affluent, predominantly White neighborhoods, underscoring the potential environmental justice concerns associated with the private provision of this public good. Additional analyses suggest that spatial clustering in preferences that are independent of the monitors’ informational value may be driving adoption.
Published in Environmental Research Communications
Meida: Time Magazine
Monitors cluster in wealthy, low-pollution areas with a small Black or Hispanic population.

2024
With Matthew Neidell
Wildfires lead to dramatic increases in fine particulate matter pollution concentrations. Based on the premise that higher-income households purchase more defensive investments to reduce the degree to which outdoor pollution infiltrates indoors, in this study, we investigate how income contributes to outdoor–indoor pollution infiltration rates during wildfire events. Using crowd-sourced data from the PurpleAir Real-Time Air Quality Monitoring Network and econometric models that explore variations in monitor readings over time, we find increases in outdoor pollution lead to significant increases in indoor pollution, but disproportionately so in lower-income areas. The results highlight a new inequality in pollution exposure: not only are outdoor pollution levels higher for lower-income individuals, but indoor pollution levels are higher even for similar outdoor pollution levels.
Published in Environmental Research Letters
Rising outdoor pollution widens the indoor pollution gap between higher- and lower-income households.

2024
With rising average temperatures and extreme heat events becoming more frequent, understanding the ramifications for cognitive performance is essential. I estimate the effect of outside air temperature on performance in mental arithmetic training games. Using data from 31,000 individuals and 1.15 million games played, I analyze frequent engagement in a cognitively challenging task in a non-stressful and familiar environment. I find that, above a threshold of 16.5 °C, a 1 °C increase in outside air temperature leads to a performance reduction of 0.13%. The effect is mostly driven by individuals living in relatively cold areas, who are less adapted to hot temperatures.
Published in Environmental and Resource Economics
Hot temperatures impair performance on brain training games, with stronger effects in typically colder regions.

2024
With Simon Luechinger
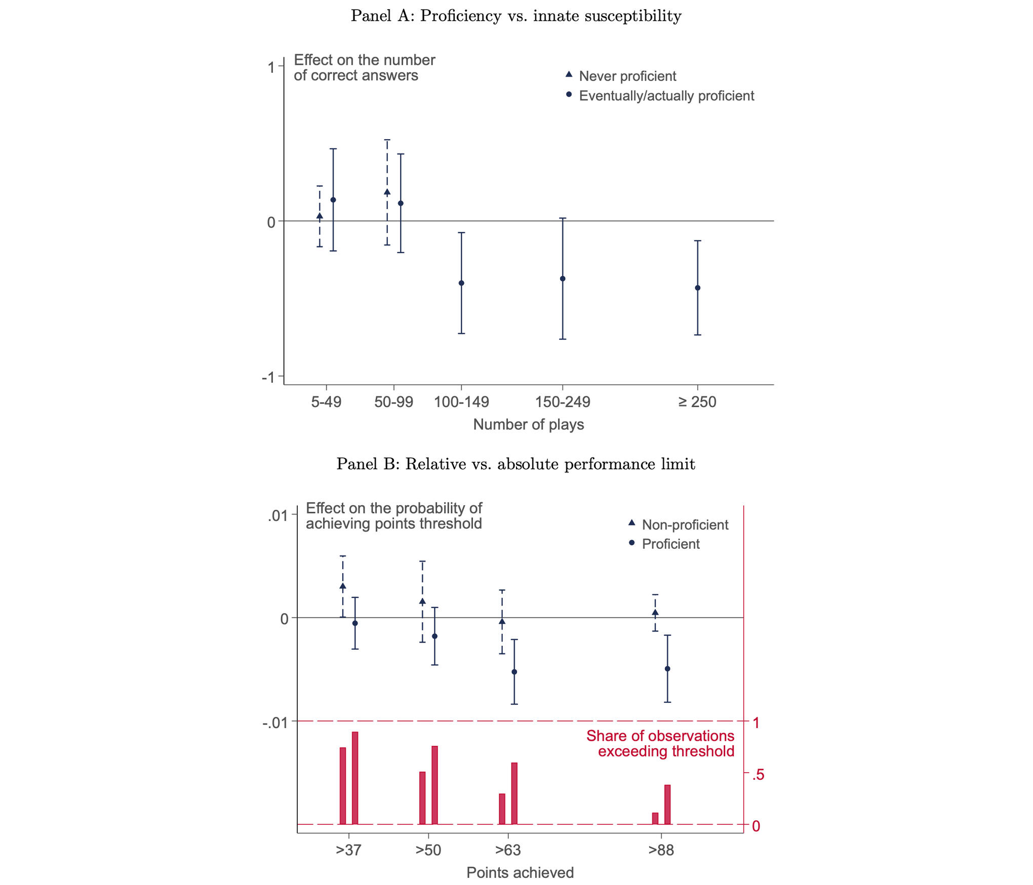
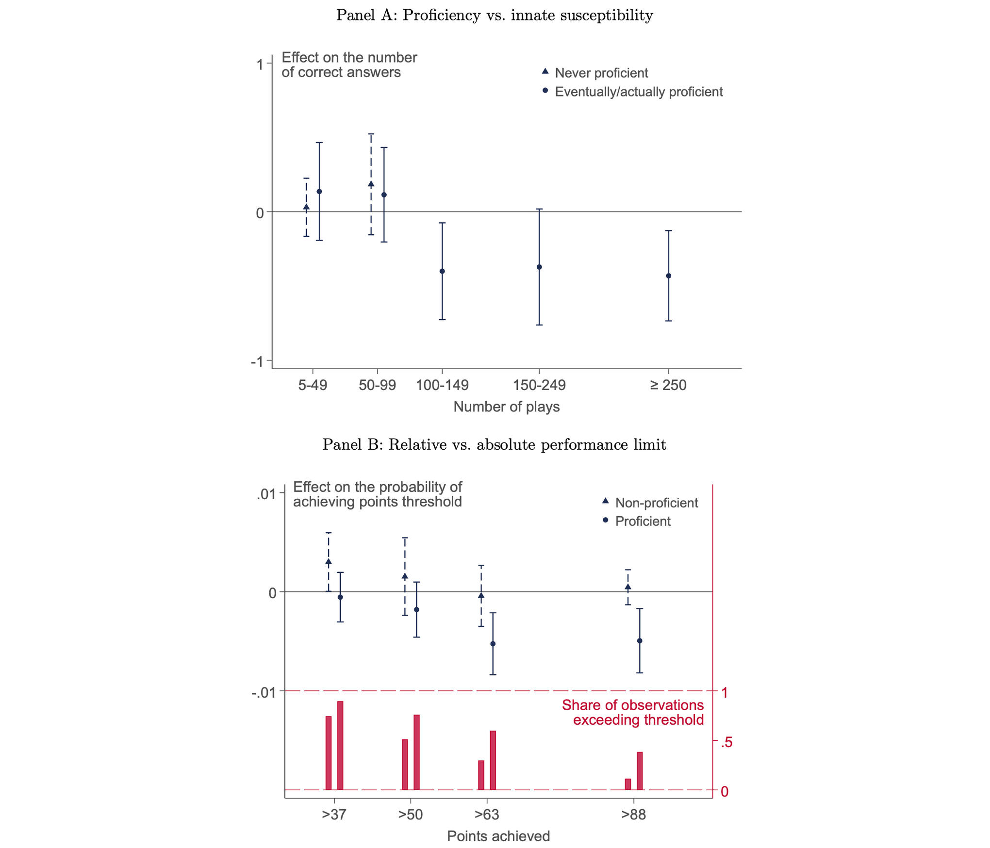
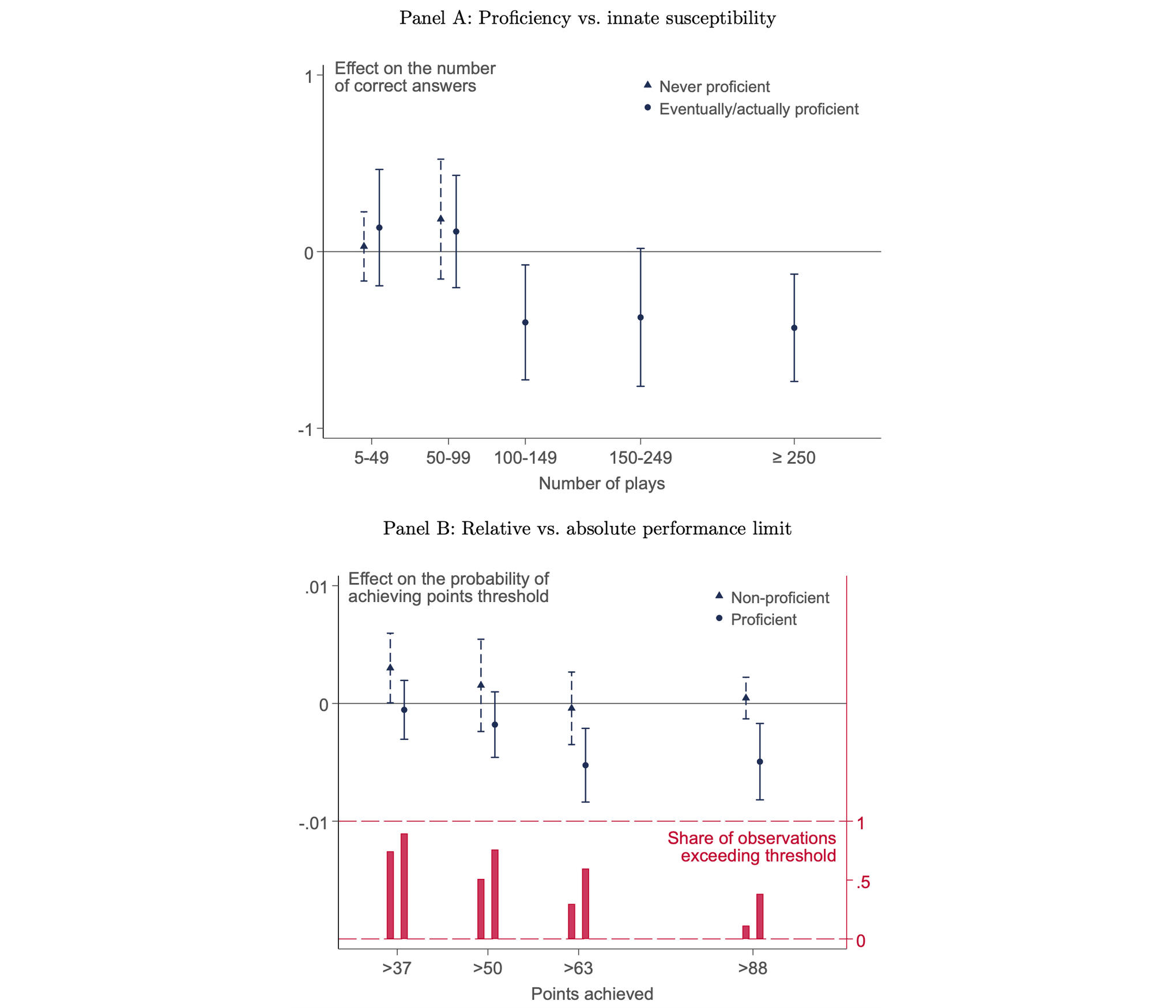
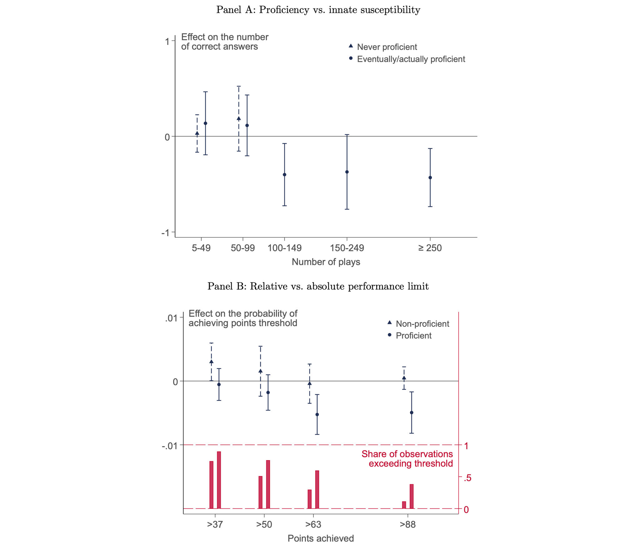
We estimate the acute effect of air pollution on cognitive performance and how the effect varies with task proficiency using data from over 25,000 individuals and 925,000 plays of a popular online arithmetic training game. To isolate exogenous pollution fluctuation, we interact spatial variation in NOx emissions with thermal inversion episodes. This exogenous variation negatively affects the cognitive performance of proficient players but not of beginners. Instrumenting NO2 pollution with the emissions × inversion interaction, we find that a 1 part per billion concentration increase lowers the number of correct answers of proficient individuals by 0.5% and by 0.3% overall.
Published in the Journal of the Association of Environmental and Resource Economists
Once users of the brain training app reach their performance limit, their performance becomes susceptible to air pollution.

2021
With Jennifer Burney, Joshua Graff Zivin, Matthew Neidell
Using hourly measures across a full year of crowd-sourced data from over 1000 indoor and outdoor pollution monitors in the state of California, we explore the temporal and spatial relationship between outdoor and indoor particulate matter (PM) concentrations for different particle sizes. The scale of this study offers new insight into both average penetration rates and drivers of heterogeneity in the outdoor–indoor relationship. We find that an increase in the daily outdoor PM concentration of 10% leads to an average increase of 4.2–6.1% in indoor concentrations. The penetration of outdoor particles to the indoor environment occurs rapidly and almost entirely within 5 h. We also provide evidence showing that penetration rates are associated with building age and climatic conditions in the vicinity of the monitor. Since people spend a substantial amount of each day indoors, our findings fill a critical knowledge gap and have significant implications for government policies to improve public health through reductions in exposure to ambient air pollution.
Published in Environmental Science & Technology
Outdoor PM rapidly infiltrates indoors at high rates.

2020
With Simon Luechinger
We estimate the effect of an electricity tax on aggregate electricity consumption with the synthetic control method. The tax was introduced in the Swiss city of Basel in 1999 and, together with other tariff changes, increased marginal electricity prices by 5.4–8.0%. We compare the actual and a hypothetical electricity consumption in the years 1999–2006. The latter is a weighted average of electricity consumption in other Swiss cities and captures the hypothetical situation without the tax. We find a statistically insignificant effect of the tax increase of − 2.7 to − 1.9%, which implies a rather small, but not unreasonable, price elasticity of between − 0.5 and − 0.2. Ambiguous effects on average prices and an unfortunate communication by officials may explain why the innovative reform failed to induce a stronger response.
Published in the Swiss Journal of Economics and Statistics
Media: SRF, Ökonomenstimme
The tax only had a small, statistically insignificant effect on electricity consumption.

2014
With Joel O’Neill
University rankings are often used as indicators for university quality by scholars and policy makers. The main indicators common to all well-established rankings are the number of publications in well-known journals, and the citation frequency of these publications. In this paper we take a closer look at such rankings. We state, that they suffer from three major deficiencies: first, none of the main indicators relate input (i.e. funding) to output; second, no university ranking provides information about the marginal productivity of universities and third, the established rankings may bias the focus of academics and university leaders onto rank instead of actual university quality. In contrast to the third deficiency, the first and second have received scarce attention. Thus, we adjust two of the most recognized rankings for Swiss universities by relating research output to the respective university budget. Our adjusted rankings show quite a different picture: While larger universities lead the unadjusted rankings, they find themselves at the bottom of the adjusted rankings, i.e. the original rankings are almost completely inverted. Our results show, that the first deficiency of standard rankings is severe but can be cured easily. This also has important consequences for the second deficiency about which we can, however, only speculate.